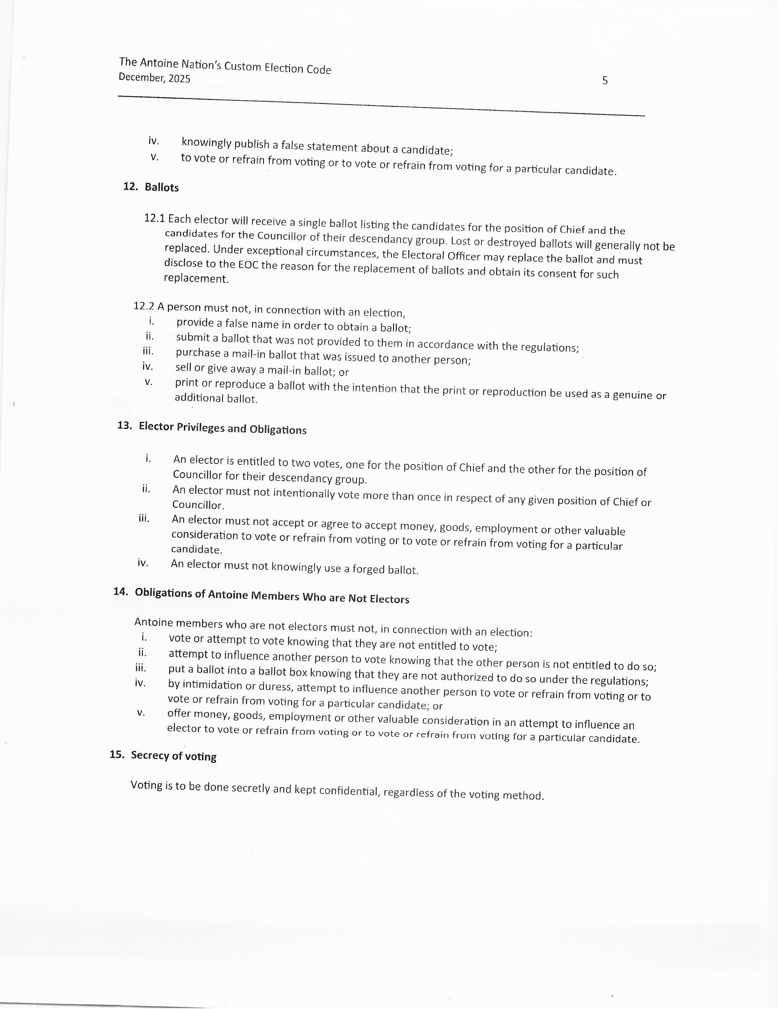
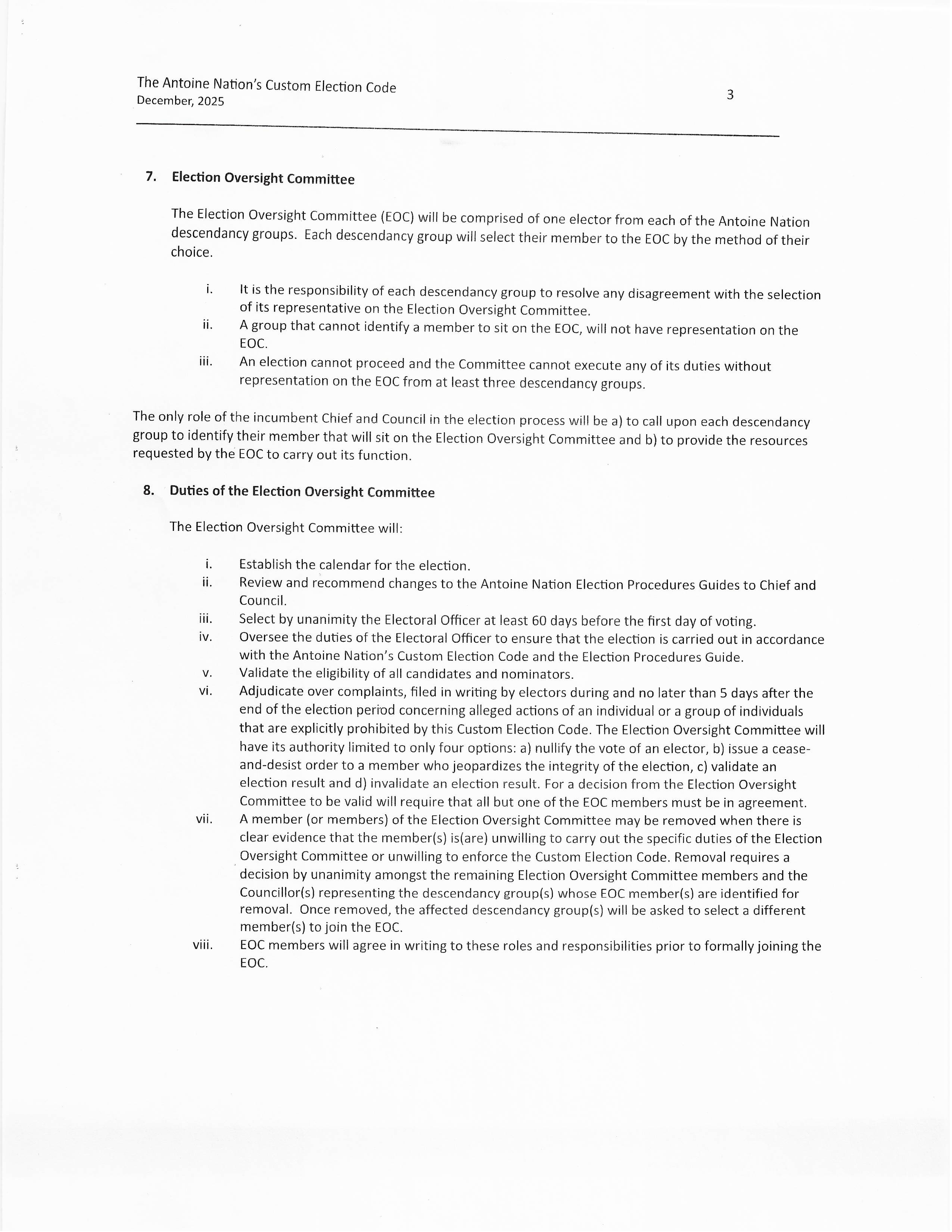
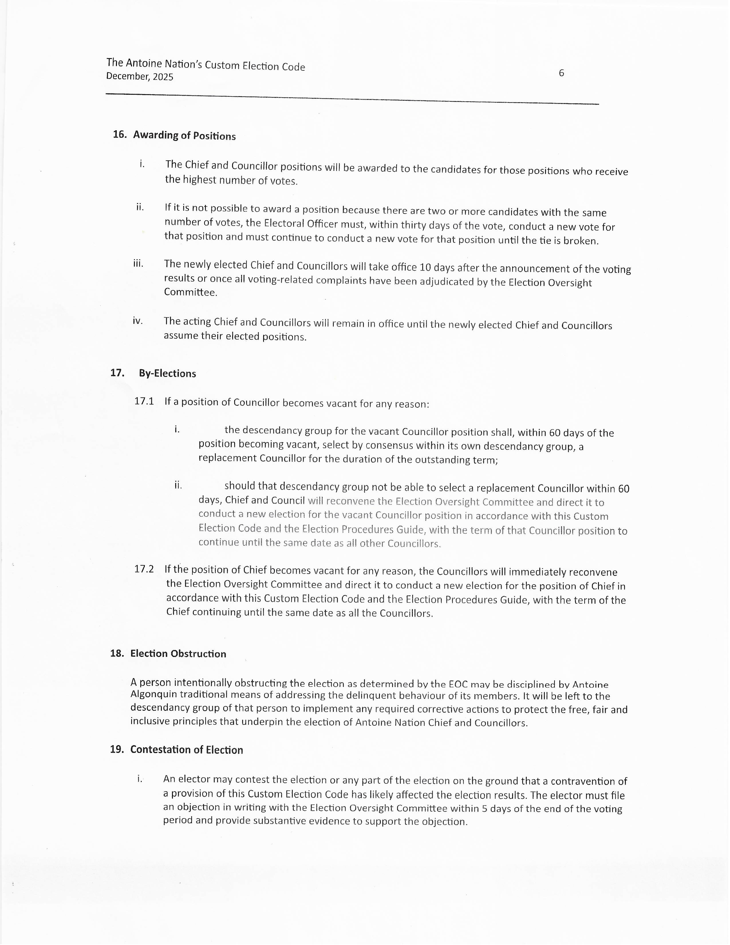
0
Skip to Content
Antoine Nation
Home
Origins & Identity
History of the Antoine Nation
History of the Antoine Nation
History of Antoine Nation (PDF)
Governance
Chief & Council
Membership
Constitution
Election Code
Territory
Description
Maps
Rights
Negotiations
AIP Background
AIP Full Text
News & Events
Calendar of Events
Constitution
Constitution 2023 HTML
Constitution 2023 PDF
Ratification Certification
Council Signing
Contact
Open Menu
Close Menu
Antoine Nation
Home
Origins & Identity
History of the Antoine Nation
History of the Antoine Nation
History of Antoine Nation (PDF)
Governance
Chief & Council
Membership
Constitution
Election Code
Territory
Description
Maps
Rights
Negotiations
AIP Background
AIP Full Text
News & Events
Calendar of Events
Constitution
Constitution 2023 HTML
Constitution 2023 PDF
Ratification Certification
Council Signing
Contact
Open Menu
Close Menu
Home
Origins & Identity
Folder:
History of the Antoine Nation
Back
History of the Antoine Nation
History of Antoine Nation (PDF)
Folder:
Governance
Back
Chief & Council
Membership
Constitution
Election Code
Folder:
Territory
Back
Description
Maps
Folder:
Rights
Back
Negotiations
AIP Background
AIP Full Text
Folder:
News & Events
Back
Calendar of Events
Folder:
Constitution
Back
Constitution 2023 HTML
Constitution 2023 PDF
Ratification Certification
Council Signing
Contact